AUT™/ABD

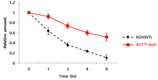
㈜ 유비프로틴의 기술은 단백질 의약품이 체내에서 오래 존재하도록 하기 위해 AUT™(Anti-Ubiquitination Technology)기술을 적용하여 유비퀴틴화 과정을 통한 단백질 분해를 막고, ABD (Albumin Binding Domain)를 응용하여 단백질이 혈액 내 알부민과 결합시켜 체외 배출을 줄이는 것입니다.

Long lasting efficacy in-vivo
세포내 반감기 증가

혈액 내 반감기 증가